Beranda
/ Integral Cara Cepat / Integral Parsial Jawaban Bentuk Perkalian Request Pak Erwin Youtube - Melihat notasi integral yang mirip kayak cacing (?) membuat siswa melambaikan tangan bak mengikuti program uji nyali, apalagi membahas integral subtitusi.
Integral Cara Cepat / Integral Parsial Jawaban Bentuk Perkalian Request Pak Erwin Youtube - Melihat notasi integral yang mirip kayak cacing (?) membuat siswa melambaikan tangan bak mengikuti program uji nyali, apalagi membahas integral subtitusi.
Integral Cara Cepat / Integral Parsial Jawaban Bentuk Perkalian Request Pak Erwin Youtube - Melihat notasi integral yang mirip kayak cacing (?) membuat siswa melambaikan tangan bak mengikuti program uji nyali, apalagi membahas integral subtitusi.. Dengan u = x+ b 2 dan d = p 4c b2 2: Suatu fungsi trigonometri juga dapat diintegralkan. Setiap soal integral trigonometri d. C) rumus cepat mencari luas. Tips menghitung integral dan diferensial dengan cepat.
Melihat notasi integral yang mirip kayak cacing (?) membuat siswa melambaikan tangan bak mengikuti program uji nyali, apalagi membahas integral subtitusi. Jika persoalan ini kita coba namun tidak menemukan jawaban itu berasrti kita harus menyelesaikan persoalan integralnya dengan menggunakan cara integral parsial ( bagian demi bagian). Semakin banyak berlatih soal integral, kamu bakalan semakin cepat paham cara kerjanya. C) rumus cepat mencari luas. Dengan dekomposisi pecahan parsial, maka masalah integral r p q dx diubah menjadi jumlah beberapa integral yang lebih mudah ditangani.
8 33 Mb 2 Cara Cepat Luas Yang Dibatasi 2 Kurva Contoh 5d Download Lagu Mp3 Gratis Mp3 Dragon from i2.wp.com Memiliki dua batas fungsi, yaitu fungsi kuadrat dan fungsi kuadrat. Setiap soal integral trigonometri d. Dalam artikel di bagian lain kita sudah mempelajari integral tak tentu. Bentuk baku integral trigonometri selain rumus dasar integral di atas dalam mengintegralkan fungsi trigonometri juga digunakan identitas trigonometri. Berikut ini akan di jelaskan cara cepat untuk menentukan hasil integral parsial. 2 = x+ b 2 2 + p 4c b2 2! B) bentuk daerah jenis 2. Rumus cepat tidak berlaku untuk seluruh daerah ya, quipperian.
Integral tak tentu dari fungsi mengambil antiturunan dari fungsi lain.
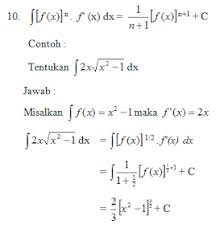
Sore ini pengetahuan olandsky akan membagikan pengetahuan tentang matematika yang cukup menarik seperti sebelumnya yang berjudul tips dan trik mengerjakan integral substitusi dengan mudah.kalau ini parsialnya jadi saya beri nama 'tips dan trik mengerjakan integral parsial dengan mudah'. Trik cepat memecahkan soal integral aljabar substitusi. Cara cepat mengerjakan integral trigonometri tanpa subsitusi cara cepat integral substitusi recomended youtube teknik integral substitusi fungsi trigonometri rumus integral matematika rumus cepat integral substitusi guru ilmu sosial tips trik cara cepat untuk mengerjakan menyelesaikan soal limit trigonometri kompasiana com. Biasanya, integral parsial ini digunakan untuk menyelesaikan persamaan yang cukup komplek. Dengan dekomposisi pecahan parsial, maka masalah integral r p q dx diubah menjadi jumlah beberapa integral yang lebih mudah ditangani. Integral adalah invers dari operasi turunan. Materi matematika terutama bab integral tak jarang bikin siswa puyeng. Dalam hal penghitungan integral tak tentu, kalkulator integral tak tentu membantu anda melakukan kalkulasi integral tak tentu selangkah demi selangkah. Berikut ini akan di jelaskan cara cepat untuk menentukan hasil integral parsial. Suatu fungsi trigonometri juga dapat diintegralkan. Pada baris kelima dan kolom kelima r (5,5)didapatkan nilai integral yang lebih baik sebesar 2.77259. Situs judi poker online terbaik & terpercaya di indonesia yang menawarkan 6 permainan di dalam 1 id game : Kecepatan dari suatu mobil adalah (t 2 + 3 ) m/s.
Tentukankanlah seberapa jauh mobil tersebut bergerak dari diam sampai t = 4 s! Memiliki dua batas fungsi, yaitu fungsi kuadrat dan fungsi kuadrat. Integral adalah invers dari operasi turunan. Tips menghitung integral dan diferensial dengan cepat. Cara menghitung integral tentu (computing definite integral) dalam kesempatan ini kita akan mampelajari tentang integral tentu.
Rumus Integral Matematika from i0.wp.com Materi matematika terutama bab integral tak jarang bikin siswa puyeng. Semakin banyak berlatih soal integral, kamu bakalan semakin cepat paham cara kerjanya. Langkah awal sama seperti pengerjaan integral parsial dengan cara runut, yaitu memisal komponen menjadi u dan dv. Dalam artikel di bagian lain kita sudah mempelajari integral tak tentu. Proses integral parsial bisa sobat awali dengan menentukan suatu fungsi ke dalam rumusnya. Pada baris kelima dan kolom kelima r (5,5)didapatkan nilai integral yang lebih baik sebesar 2.77259. A) bentuk daerah jenis 1. Pesat.id adalah website berita indonesia terbaru dan terpercaya.
Memiliki dua batas fungsi, yaitu fungsi kuadrat dan fungsi kuadrat.
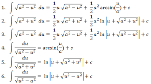
Integral bentuk aljabar trigonometri menggunakan cara substitusi maupun parsial diambil dari buku matematika gulam halim. Integral trigonometri hai kali ini kita akan membahas mengenai integral trigonometri. Teknik parsial adalah teknik penyelesaian integral dengan cara pemisalan karena komponen yang diintegralkan memuat variabel yang sama namun berbeda fungsi. Integral dalam kalkulus adalah kebalikan dari diferensiasi. Cara menghitung integral tentu (computing definite integral) dalam kesempatan ini kita akan mampelajari tentang integral tentu. Integral adalah proses menghitung luas di bawah kurva yang dibatasi oleh xy. Minimal deposit dan withdraw hanya 10 ribu. Kecepatan dari suatu mobil adalah (t 2 + 3 ) m/s. Tagged 10 cara mudah belajar matematika, cara belajar bahasa matematika, cara belajar cepat matematika sd, cara belajar cepat matematika smp, cara belajar fungsi matematika, cara belajar ilmu matematika, cara belajar induksi matematika, cara belajar jari matematika, cara belajar limit matematika, cara belajar matematika agar cepat bisa, cara belajar matematika agar cepat mengerti, cara belajar. Bentuk baku integral trigonometri selain rumus dasar integral di atas dalam mengintegralkan fungsi trigonometri juga digunakan identitas trigonometri. Dengan u = x+ b 2 dan d = p 4c b2 2: Jika persoalan ini kita coba namun tidak menemukan jawaban itu berasrti kita harus menyelesaikan persoalan integralnya dengan menggunakan cara integral parsial ( bagian demi bagian). Cara cepat yang pertama yaitu langsung menggunakan rumus baku, artinya kita tidak perlu menggunakan integral.
Melihat notasi integral yang mirip kayak cacing (?) membuat siswa melambaikan tangan bak mengikuti program uji nyali, apalagi membahas integral subtitusi. Integral dan diferensial merupakan topik matematika yang rumit bagi sebagian besar orang. Mengambil antiturunan dari fungsi adalah cara termudah untuk melambangkan integral tak tentu. Proses depo dan wd super cepat. Integral bentuk aljabar trigonometri menggunakan cara substitusi maupun parsial diambil dari buku matematika gulam halim.
Cara Cepat Integral Parsial Cara Golden from i0.wp.com Integral tak tentu dari fungsi mengambil antiturunan dari fungsi lain. Cara mengerjakan soal integral dengan cepat. Proses integral parsial bisa sobat awali dengan menentukan suatu fungsi ke dalam rumusnya. X2 +bx+c = x+ b 2 2 + r c b2 4! Pesat.id menyiapkan video terbaru tentang cara mengerjakan soal matematika integral yang bisa anda jadikan referensi serta solusi permasalahan anda. Integral mungkin adalah materi yang sangat sulit yang dirasakan oleh siswa, karena balik lagi bicara matematika maka siswa akan langsung berfikiran tentang rumus. Tagged 10 cara mudah belajar matematika, cara belajar bahasa matematika, cara belajar cepat matematika sd, cara belajar cepat matematika smp, cara belajar fungsi matematika, cara belajar ilmu matematika, cara belajar induksi matematika, cara belajar jari matematika, cara belajar limit matematika, cara belajar matematika agar cepat bisa, cara belajar matematika agar cepat mengerti, cara belajar. Integral parsial adalah teknik pengintegralan dengan cara parsial.
Sore ini pengetahuan olandsky akan membagikan pengetahuan tentang matematika yang cukup menarik seperti sebelumnya yang berjudul tips dan trik mengerjakan integral substitusi dengan mudah.kalau ini parsialnya jadi saya beri nama 'tips dan trik mengerjakan integral parsial dengan mudah'.
Biasanya, integral parsial ini digunakan untuk menyelesaikan persamaan yang cukup komplek. A) bentuk daerah jenis 1. C) rumus cepat mencari luas. B) bentuk daerah jenis 2. Cara menghitung integral tentu (computing definite integral) dalam kesempatan ini kita akan mampelajari tentang integral tentu. Integral adalah proses menghitung luas di bawah kurva yang dibatasi oleh xy. Situs judi poker online terbaik & terpercaya di indonesia yang menawarkan 6 permainan di dalam 1 id game : Terdapat banyak cara untuk mengaplikasikan rumus ke dalam sebuah pembahasan. Semakin banyak berlatih soal integral, kamu bakalan semakin cepat paham cara kerjanya. Setiap soal integral trigonometri d. Suatu fungsi trigonometri juga dapat diintegralkan. Memiliki dua batas fungsi, yaitu fungsi kuadrat dan fungsi kuadrat. Integral mungkin adalah materi yang sangat sulit yang dirasakan oleh siswa, karena balik lagi bicara matematika maka siswa akan langsung berfikiran tentang rumus.
Berbagi
Posting Komentar
untuk "Integral Cara Cepat / Integral Parsial Jawaban Bentuk Perkalian Request Pak Erwin Youtube - Melihat notasi integral yang mirip kayak cacing (?) membuat siswa melambaikan tangan bak mengikuti program uji nyali, apalagi membahas integral subtitusi."
Posting Komentar untuk "Integral Cara Cepat / Integral Parsial Jawaban Bentuk Perkalian Request Pak Erwin Youtube - Melihat notasi integral yang mirip kayak cacing (?) membuat siswa melambaikan tangan bak mengikuti program uji nyali, apalagi membahas integral subtitusi."